即期良品上架 最新優惠快帶回家

全館商品 滿千元免運

預購商品 歐洲產地直送

即期良品上架 最新優惠快帶回家

全館商品 滿千元免運

預購商品 歐洲產地直送

即期良品上架 最新優惠快帶回家

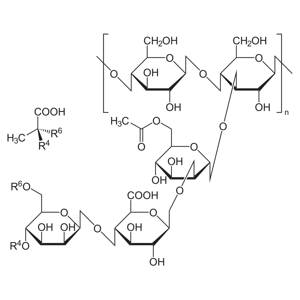
黃原膠

Xanthan Gum

黃原膠(Xanthan Gum)是一種由革蘭氏陰性菌(Xanthomonas campestris)發酵產生的多醣類物質,屬於微生物胞外高分子物質。它由葡萄糖、半乳糖和葡萄糖醛酸等單醣分子經特殊酵素反應而形成的高分子聚合物。

黃原膠在食品、化妝品、制藥和工業等領域都有廣泛應用。它能夠增加產品的黏度和穩定性,同時具有優異的凝膠性、懸浮性和乳化性等特點。此外,由於黃原膠是一種天然、高效、安全的增稠劑和穩定劑,被廣泛認可為一種綠色環保產品。

在食品工業中,黃原膠通常用於乳製品、烘焙產品、果醬、沙拉醬、飲料和冷凍產品等中作為增稠劑、穩定劑和乳化劑。在化妝品和個人護理產品中,它可以用於調節產品的黏度和流動性,增加其懸浮性和穩定性。在制藥工業中,黃原膠被用作藥物輔料,有助於口服、注射等給藥途徑的吸收和溶解。

由於黃原膠在許多領域中的廣泛應用和良好表現,它已成為一種常用的高分子材料之一。

圖片來源:由 NEUROtiker - 自己的作品, 公有領域, https://commons.wikimedia.org/w/index.php?curid=3744710

黃原膠的功用

黃原膠(Xanthan Gum)是一種多醣類物質,具有多種功用,包括增稠、乳化、懸浮、穩定、凝膠等。以下是黃原膠的主要功用:

  1. 增稠劑:黃原膠能夠增加產品的黏度和質地,常被用於食品、化妝品和制藥產品中。
  2. 穩定劑:黃原膠可以穩定乳化劑和分散劑,使其不易分離或沉澱,從而延長產品的保質期限。
  3. 乳化劑:黃原膠可以使水和油性成分混合在一起,形成穩定的乳液,從而增強產品的質地和口感。
  4. 懸浮劑:黃原膠可以將固體顆粒或液滴分散在液體中,從而形成穩定的懸浮體系。
  5. 凝膠劑:黃原膠能夠在水中形成凝膠,可以用於制作凝膠狀產品,如凝膠類飲料、果凍等。
  6. 防流失劑:黃原膠能夠防止產品中的水分流失,提高產品的濃度和口感。

總體而言,黃原膠是一種廣泛應用的高分子物質,可以在許多產品中起到不同的功能,提高產品質量和穩定性。

黃原膠的製作

黃原膠的生產是通過Xanthomonas campestris菌株的發酵而得到。下面是黃原膠的製作過程:

  1. 菌種培養:首先培養Xanthomonas campestris菌株,進行繁殖。培養基的成分包括碳源、氮源、礦物質等。
  2. 發酵:將培養好的菌種加入發酵罐中,進行大規模發酵。在發酵過程中,需控制溫度、pH值、氧氣供應量等條件,以達到最佳生長和代謝狀態。
  3. 分離:當發酵完成後,用抽滤機將菌體和培養基分離開,獲得發酵液。
  4. 沉澱:通過添加適當的化學試劑或調整pH值,使得黃原膠從發酵液中沉澱出來。
  5. 清洗:將沉澱的黃原膠用清水洗滌,去除其中的殘留物質。
  6. 干燥和粉碎:將清洗後的黃原膠在低溫下進行干燥,然後研磨成粉末狀,以得到均勻的成品。

最終得到的黃原膠可以廣泛應用於食品、化妝品、制藥和工業等領域。通過控制其產品規格和質量,可以應用於各種不同的應用場合。

注意事項:

  1. 本網站資訊來源於網路,僅供參考,不能取代醫師及專業人員之知識,如有任何疑問請詢問專業人員,並聽從專業人員指示
  2. 本公司產品皆符合歐盟及臺灣使用標準,請安心使用