即期良品上架 最新優惠快帶回家

全館商品 滿千元免運

預購商品 歐洲產地直送

即期良品上架 最新優惠快帶回家

全館商品 滿千元免運

預購商品 歐洲產地直送

即期良品上架 最新優惠快帶回家

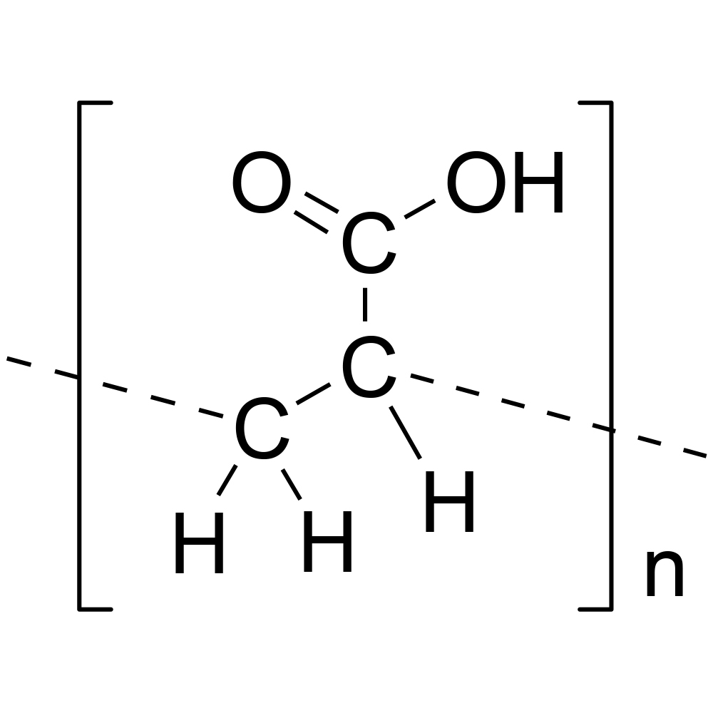
聚丙烯酸乙二醇酯

CARBOMER

聚丙烯酸乙二醇酯(CARBOMER)是一種聚合物,也稱為多聚物,主要用於化妝品和制藥工業中的增稠劑、穩定劑和乳化劑。通常以數字命名,例如CARBOMER 940和CARBOMER 934。

聚丙烯酸乙二醇酯的主要特點是其高分子量和水溶性。當聚丙烯酸乙二醇酯與水混合時,會形成一種凝膠狀物質,可以增加產品的黏度和穩定性,使其更容易在皮膚上或眼睛中停留。聚丙烯酸乙二醇酯還可以用於制備膠囊和錠劑,作為一種藥物輔料來幫助藥物的嚥服。

聚丙烯酸乙二醇酯在不同產品中的使用量和目的各有不同,需要根據具體的應用來確定使用量和使用方法。

圖片來源:由 矢量化: Alhadis - 我個人以下列物件為基礎來創作: Polyacrylic acid.png 由 Edgar181, CC0, https://commons.wikimedia.org/w/index.php?curid=84857828

聚丙烯酸乙二醇酯的功效

聚丙烯酸乙二醇酯主要用作化妝品和制藥工業中的增稠劑、穩定劑和乳化劑,其功效如下:

  1. 增稠劑:聚丙烯酸乙二醇酯可以增加產品的黏度,使得化妝品更容易塗抹在皮膚上,也可以讓制藥產品更容易被嚥服。
  2. 穩定劑:聚丙烯酸乙二醇酯可以穩定化妝品中的成分,防止它們分離或降解。對於制藥產品來說,聚丙烯酸乙二醇酯可以穩定藥物成分,延長其有效期限。
  3. 乳化劑:聚丙烯酸乙二醇酯可以將水和油混合在一起,形成一種穩定的乳液狀態。這在化妝品和制藥產品中非常有用,因為很多產品需要將油性和水性成分混合在一起,以達到更好的效果。

此外,聚丙烯酸乙二醇酯還可以起到潤澤、保濕和凝膠化的作用,有助於改善皮膚的質感和外觀,也可以增加口腔產品的黏附性和稠度。然而,具體功效還需要根據產品的使用方法和用途進一步確定。

聚丙烯酸乙二醇酯的來源

聚丙烯酸乙二醇酯是一種人工合成的高分子化合物,通常通過聚合反應從單體中合成而來。這些單體包括丙烯酸、丙烯酸甲酯和乙二醇等。

聚丙烯酸乙二醇酯的生產過程中需要嚴格的化學合成條件和技術,以確保其品質和性能。聚丙烯酸乙二醇酯的分子結構可以通過改變單體的組成、比例和聚合反應的條件來調整,以適應不同產品和應用的需求。

目前,聚丙烯酸乙二醇酯是一種廣泛應用於化妝品和制藥工業中的高分子材料,具有優良的增稠、穩定、乳化等特性,並且在化妝品、口腔護理產品、眼藥水、局部治療藥物等多個領域得到了廣泛應用。

注意事項:

  1. 本網站資訊來源於網路,僅供參考,不能取代醫師及專業人員之知識,如有任何疑問請詢問專業人員,並聽從專業人員指示
  2. 本公司產品皆符合歐盟及臺灣使用標準,請安心使用